Contoh Soal Logaritma Mudah Beserta Jawabannya

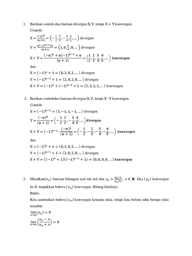
FAST DOWNLOADads
Download

Contoh Soal Logaritma Mudah Beserta Jawabannya. Dalam materi logaritma terdapat bentuk umum yaitu ᵃlog x = n apabila x = aⁿ. Jika b a c maka blog c a a 2 3 8 2log 8 3 b 5 4 625 5log 625 4 c 7 2.

5 Contoh Soal Limit Fungsi Trigonometri Beserta Jawabannya
5 Contoh Soal Limit Fungsi Trigonometri Beserta Jawabannya from www.contohsoalku.co

Gambar di atas adalah sifat sifat dasar logaritma. Diketahui 3log 5 = x dan 3log 7 = y. Gambar grafik yang disajikan di dalam postingan ini.

Contoh Soal Grafik Fungsi Logaritma Dan Jawabannya.


Logaritma adalah lawan atau kebalikan dari bilangan berpangkat.secara umum logaritma ditulis dengan a c = b a log b = c (a > 0, a ≠ 1, b > 0). Contoh soal logaritma dan pembahasannya beserta jawabannya by azzahra rahmah posted on december 27 2019 rumus co id pada kesempatan kali ini kita akan membahas tentang contoh soal logaritma matematika kelas 10 penjumlahan pengurangan beserta jawabannya dan pembahasannya lengkap. Pengertian basis, numerus, dan eksponen dari bentuk logaritma 2log 8 = 3, kedudukan 8 adalah sebagai.

Berikut 14 Nomor Contoh Soal Lengkap Dengan Penyelesaian Logaritmanya.


Pada kesempatan kali ini kita akan membahas tentang contoh soal logaritma matematika kelas 10 penjumlahan pengurangan beserta jawabannya dan pembahasannya lengkap. Logaritma merupakan salah satu topik matematika yang memiliki model soal dengan cakupan cukup luas dan variatif. Meski sudah memiliki sifat sifat istimewa yang berlaku secara umum dan cenderung lebih mudah jika dibandingkan dengan topik limit dan integral akan tetapi logaritma juga.

Jika Sobat Idschool Belum Menguasai Dasar Logaritma Bisa Pelajari Terlebih Dahulu Contoh Soal Yang Cukup Mudah Di Sini.


A 2 3 8 b 5 4 625 c 7 2 49 pembahasan transformasi bentuk pangkat ke bentuk. Pada pertemuan sebelumnya telah dibahas tentang pengertian persamaan logaritma dimana diartikel sebelumnya diuraikan lengkap mulai dari pengertian,. Contoh soal matriks dan jawabannya kelas 11 pilihan ganda.

Postingan Kali Ini Saya Akan Bahas Tentang Logaritma Kelas 10.


Kemudian apabila x = aⁿ, maka ᵃlog x = n. Kumpulan soal logika dan jawabannya, mudah dipahami. Gambar di atas adalah sifat sifat dasar logaritma.

Jika B A C Maka Blog C A A 2 3 8 2Log 8 3 B 5 4 625 5Log 625 4 C 7 2.


Kumpulan soal logaritma beserta jawabannya lengkap. Diketahui ⁶⁴log ⁡7=x, maka nilai dari ¹²⁸log (1/49) adalah…. Rumus tersebut digunakan untuk menyelesaikan contoh soal logaritma.

FAST DOWNLOADads
Download
Next Post Previous Post
No Comment
Add Comment
comment url